自考|沪2025年10月上海市高等教育自学考试统考课程教材考纲书目表发布
                	
                    来源:上海市教育考试院
时间:2025-06-06 13:52:59
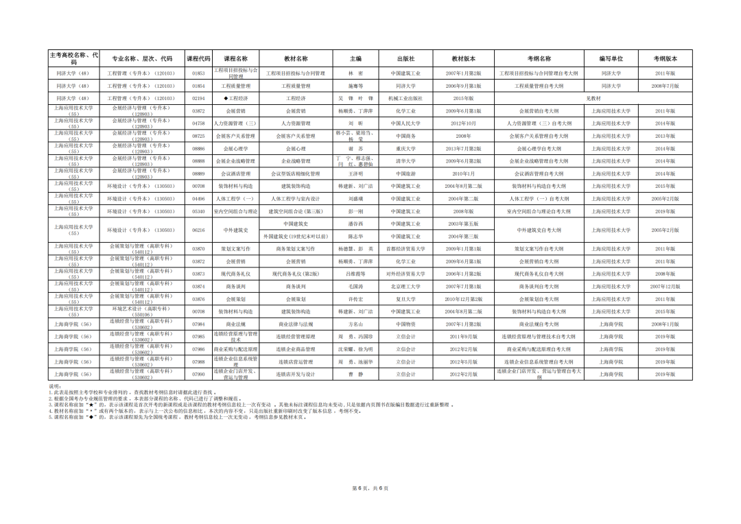
2025年10月上海市高等教育自学考试全国统考和市级统考课程教材考纲书目表公布,详见↓
全国统考






市级统考






责任编辑:陆芸 
                来源:上海市教育考试院
时间:2025-06-06 13:52:59
2025年10月上海市高等教育自学考试全国统考和市级统考课程教材考纲书目表公布,详见↓
全国统考






市级统考






